
فنداسیون
دستگاه پرس برک وزن و نیروی هیدرولیکی بالایی برای خم کردن به ورق اعمال می کند. همچنین نیروی عکس العمل این نیروی هیدولیکی باید مهار شود . یکی از راه های اصولی و مرسوم برای مهار وزن و نیروی خم کردن و عکس العمل دستگاه فنداسیون است. پرس برک های پایابرش تا طول 3 متر و تا ضخامت قابل خم 10 میل دارای پایه فنداسیون های معمولی هستند که به دو طرف بدنه جوش می شوند. یعنی هر طرف بدنه دارای 2 پایه فنداسیون می باشد که روی پایه ها سوراخکاری می شود و پیچ بولت بسته می شود. یکی دیگر از راه های مهار دستگاه صفحه ستون می باشد که باید زیر پایه فنداسیون ها قرار بگیرد. برای پرس برک های بزرگتر از ابعاد گفته شده، چون نیروی دستگاه بسیار بالا می باشد باید قبل از استفاده از دستگاه حتما داخل زمین گودبرداری شود و بتن مسلح ریخته شود سپس دستگاه روی بتن کاملا تراز شده قرار می گیرد و مقداری از میز دستگاه که از پایین بدنه بزرگتر در نظر گرفته شده داخل بتن می رود تا بتواند در مقابل نیروی هیدرولیکی دستگاه پایداری داشته باشد. مجموعه دیگری که در پرس برک های پایابرش استفاده می شود قاب های دستگاه می باشد که برای هر دو جک دستگاه قاب به اندازه سیلندر جک توسط نرم افزار طراحی و در محیط شیت متال طراحی می شود و به دلیل اهمیت نمای دستگاه با لیزر برش داده می شود. سپس توسط پرس برک ها خمکاری می شود.
سنبه و کلمپ ها
سنبه و ماتریس دستگاه های پرس برک معمولا بر مبنای نیاز مشتری طراحی و ساخته می شود که در ابعاد و نوع های مختلفی
بکار میرود که معمولا سنبه و ماتریس را به صورت سنگ خورده در نظر میگیریم و به صورت برش خورده جهت خم کاری مشتری
بکار میبریم.
کلمپ ها هم به صورت Fast (آسان باز شو طرح اروپایی) می باشد که این کلمپ های آسان بازشو که به صورت اهرمی می باشند
جهت باز و بسته کردن راحت تر و سریع تر سنبه ماتریس بکار میروند.
سیستم فیکس کن
برای انواع پرس برک PLC که تناژ آنها کمتر از 160 تن می باشد معمولا تنظیمات جک ها را به صورت فیکس کن عمل می کنیم؛
یعنی به صورت الکترو مکانیکی کورس و حرکت جک ها را تنظیم می کنیم.
سیستم قرار جلو
قرار جلو پرس برک ها دو نوع منوال و CNC طراحی و ساخته می شود که تو سیستم قرار جلو پرس برک به صورت منوال
یا دستی می باشد به صورت ریل واگن طراحی و ساخته شده که با حرکت راحت دست میتوانیم ریل واگن ها را در طول پرس برک
بدهیم ولی سیستم قرار جلو پرس برک هایی که تحت CNC می باشد قرار جلو بر مبنای نیاز مشتری تحت CNC عقب و جلو و یا چپ و راست قابل تنظیم به صورت اتوماتیک می باشد.
سیستم هیدرولیک
سیستم هیدرولیک پرس برک CNC به صورت شیرآلات دایرکشنال پروفشنال هست که با دبی روغن حرکت جک ها را تنظیم می کند و در نهایت ما بالاترین دقت ممکن و بالاترین سرعت ممکن را از این سیستم هیدرولیک میتوانیم استفاده بکنیم.
مجموعه جک ها
برای محاسبه ی جک های پرس برک به ازای هر 1 میلی متر ضخامت ورق برای جنس آهن مقاومت مشابه ST37 به ازای هر 1 میلی متر ضخامت در طول 1 متر 7/6 تا نیرو نیاز داریم که تیز ترین و بیشترین خم را روی ورق ایجاد کنیم که ما یک ضریب اطمینانی بالاتر در نظر میگیریم برای این مجموعه جک ها یعنی 7 تن را در نظر میگیریم.
پس در واقع برای محاسبه ی جک های پرس برک طول*ضخامت*عدد 7 محاسبه جک ها صورت میگیرد.
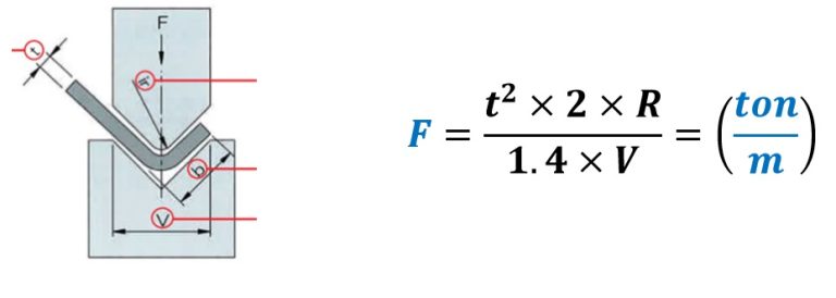
محاسبه نیروی خمش در فضای آزاد

واحد اندازه گیری | عوامل تاثیر گذار | آیتمها در فرمول |
mm | ضخامت ورق فلزی | t |
mm | V باز شده | V |
نیرو | F | |
mm | حداقل لبه | b |
mm | شعاع داخلی | (inner radius)ir |
مقاومت کششی | R |
رابطه بین ضخامت ورق و عرض v:

t | ضخامت ورق (mm) | 0.5-2.5 | 3-8 | 9-10 | 12 به بالا |
V | عرض دهانه (mm)V | 6t | 8t | 10t | 12t |

در این مقاله، برخی اجزای یک پرس برک مدرن را بررسی کردیم. استفاده از هر پرس برک نیازمند درک گسترده از دستگاه و تجربه فراوان در دنیای پیچیده ساخت و ساز قطعات فلزی می باشد
بکارگیری آخرین نرمافزارها و فناوریها میتوان عملیات پرس برک شما را به طور قابل توجهی بهینه کند. در شرکت پایا برش، ما تجربه گستردهای در زمینه تولید ماشینهای خمکاری داریم. اگر به اطلاعات بیشتری نیاز دارید، جهت دریافت مشاوره رایگان با ما تماس بگیرید.
شرکت پایا برش به عنوان یک تولیدکننده حرفهای ماشینآلات خم کاری و پرس برک و ارائه دهنده خدمات پس از فروش همچنین طیف وسیعی از ماشین آلات را ارائه میدهد، از جمله پرس برک CNC، دستگاه برش لیزر فایبر، دستگاه گیوتین، دستگاه نورد و …. اگر نیاز به یک ماشین خمکاری دارید، اعضای تیم ما آماده کمک هستند.
